CBD vs THC: Exploring The Differences
CBD (cannabidiol) and THC (tetrahydrocannabinol) are two of the most well-known cannabinoids found in the cannabis plant. While they originate from the same source, their effects on the body differ significantly depending on how they interact with the bodies endocannabinoid system.
CBD is non-psychoactive and derived primarily from hemp plants, offering potential therapeutic benefits such as pain relief, anxiety reduction, and anti-inflammatory properties
On the other hand, THC is psychoactive and primarily sourced from marijuana plants, inducing euphoria and altering perception
In this post, we are going to explore the differences of CBD & THC . This is a great source of confusion for most people and deters a good amount of those from the benefits of CBD use.
Clarifying Terms
Hemp vs. Marijuana
Hemp and marijuana are both varieties of the Cannabis sativa plant, but they differ primarily in their chemical composition and uses.
Hemp typically contains high levels of CBD and trace amounts of THC (0.3% or less). Hemp is suitable for industrial purposes like textiles, food, and CBD products
Marijuana, in contrast, contains higher levels of THC, the psychoactive compound responsible for its intoxicating effects. It is primarily cultivated for medicinal or recreational purposes.
Psychoactive
Psychoactive refers to substances or compounds that have the ability to affect the mind, mood, or behavior by altering brain function
Examples of psychoactive substances include drugs like caffeine, nicotine, alcohol, and various recreational drugs such as THC found in marijuana.
Synthetic vs. Natural
“Natural” products are those derived from natural sources, such as plants, animals, minerals, or microorganisms, and undergo minimal processing or modification. Examples include fruits, vegetables, herbs, essential oils, and plant extracts like CBD from hemp.
“Synthetic” products are artificially created through chemical synthesis or manipulation in a laboratory setting. They are typically made from non-natural or modified natural compounds. Examples include synthetic drugs, artificial flavors and colors, and laboratory-produced cannabinoids designed to mimic those found in hemp or marijuana
When comparing hemp and marijuana, hemp-derived CBD products are considered natural as they are extracted directly from the hemp plant without significant alteration
Conversely, synthetic cannabinoids, often found in marijuana-derived products or pharmaceuticals, are created artificially in laboratories to replicate the effects of natural cannabinoids like THC

What Is CBD?
Cannabidiol or CBD is one of the main cannabinoids found in the Cannabis plant. CBD is primarily associated with Cannabis sativa, but it can also be found in other varieties of the cannabis genus, such as Cannabis indica and Cannabis ruderalis
The most important thing to understand about CBD is that it comes from the Hemp composition of the plant. That is – high CBD content and trace THC
CBD is non-psychoactive, meaning it does not produce the “high” typically associated with marijuana use. Instead, CBD interacts with the body’s endocannabinoid system (ECS), which regulates various physiological processes, including mood, pain sensation, appetite, and memory
While CBD is most commonly extracted from cannabis plants, it can also be synthesized in a laboratory setting, leading to the production of synthetic CBD
Natural CBD (derived from cannabis or hemp plants) is generally preferred due to its potential synergistic effects with other compounds found in the plant, known as the entourage effect
What Is THC?
While CBD and THC come from the same plant, they differ in may ways. Understanding these differences is key to understanding the beneficial effects of CBD and can aid in the anxiety of trying medical CBD products
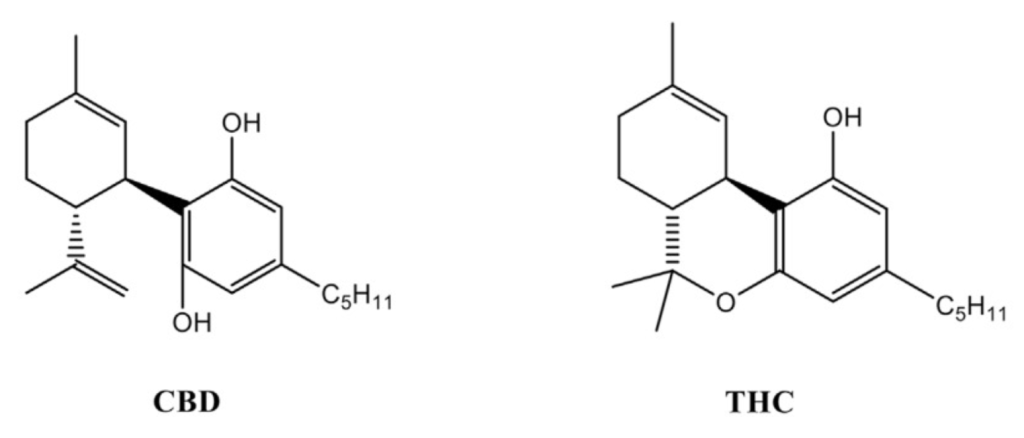
Chemical Structure
Interestingly, CBD & THC have the same chemical makeup C21H30O2; however, they vary in their respective structure.

While they both interact with the Endocannabinoid System (ECS), they interact with the receptors in different ways, providing different effects
Psychoactive Properties
The main difference in psychoactive properties between THC and CBD lies in their effects on the brain and behavior.
THC is highly psychoactive and produces a “high” or euphoric sensation when consumed, primarily by binding to cannabinoid receptors in the brain, particularly CB1 receptors.
CBD does not produce intoxicating effects or a “high” when consumed. While CBD interacts with the body’s endocannabinoid system, it does so differently from THC, leading to effects such as relaxation, pain relief, and anti-anxiety properties without inducing euphoria or impairment
Medical and Therapeutic Uses
Both CBD & THC have medical uses, albeit with different targets
CBD is commonly utilized for its potential therapeutic properties, including its anti-inflammatory, analgesic, anxiolytic, and anti-seizure effects.
It is often sought after for managing conditions such as chronic pain, anxiety disorders, epilepsy, sleep and inflammatory conditions like arthritis. More on the therapeutic benefits of CBD here.
THC is primarily known for its psychoactive properties and is utilized medicinally for its ability to alleviate symptoms such as pain, nausea, vomiting, and to increase appetite. This is frequently used particularly in cancer patients undergoing chemotherapy.
Side Effects of CBD & THC
Anything we put into our body can have potential side-effects. Whether this be animal, plant, or chemical – you must be aware that reactions can occur.
While CBD is deemed “safe” some patients will experience side effects. This can vary depending on dosage, individual sensitivity, and quality of products.
While this is not inclusive, a few side effects include:
CBD
THC
- Dry Mouth
- Drowsiness/fatigue
- nausea
- diarrhea
- changes in appetite
- Euphoria
- impaired memory& cognition
- addiction
- withdrawal
- impaired lung function
Interested in further discussion around side-effects? Read: Exploring the Potential Side Effects of CBD: What You Need to Know
Legality
CBD is federally and state legal thanks to the Farm Bill of 2018.
THC is federally illegal; however, may be legal in certain states. Check your state for local laws. As of April 2024, Marijuana was legal in 24 states per CBS News. The green states below were identified as LEGAL with more states being “mixed” in their laws. Read the full story here

To complicate things further, some states offer mixed laws.

Drug Testing
In general, drug tests detect THC, not CBD. Hence, use of marijuana will be detected in a drug test
CBD can be a little tricky, but is easy to understand. Remember from above that CBD legally has to contain < 0.3% of dry weight THC.
CBD comes in different forms: full spectrum, broad spectrum, isolate. There technically is a small risk that Full Spectrum products could show positive on a drug test.
Therefore, if anyone is concerned about drug tests or lives in a state where THC is illegal, use of broad spectrum or isolate products are recommended
Learn more about the types of CBD.
Considerations for Use
Consult with a trained professional to help you decide on what products are right for you. To place a consult, click here.
Summary
Many people have misconceptions of CBD and THC, providing them with fear to explore the health benefits of CBD. While it’s easy to get confused, this article should clarify things for you. CBD has many benefits. While I advise staying away from anything synthetic, has a delta in
its name, or has high levels of THC, I do recommend trying CBD to aid in many health ailments
CBD is legal and not mind altering, making it a great natural alternative to some medications. I encourage readers to make informed-decisions when making the decision to improve his/her health through Hemp-Wellness. Foremost, I highly advise using a knowledgeable, healthcare professional to help guide you in product selection.
Most of all – Know what you’re taking and enjoy the exploration for what Hemp-Wellness has to offer you!